Головна
Cоціологія || Гуманітарні науки || Мистецтво та мистецтвознавство || Історія || Медицина || Науки про Землю || Політологія || Право || Психологія || Навчальний процес || Філософія || Езотерика || Екологія || Економіка || Мови та мовознавство
ГоловнаМедицина → біохімія людини
««   ЗМІСТ   »»

ВІТАМІНИ ГРУПИ D (ЖИРОРОЗЧИННІ)

Вітамін D - кальциферол, як і вітамін А, існує у вигляді декількох вітамери.

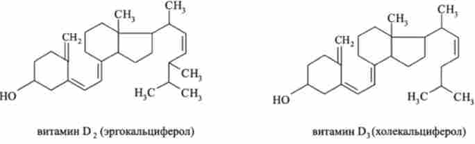
З хімічної точки зору вітамін D являє собою одноатомний ненасичений циклічний спирт, в основі структури якого лежить кільце цикло- пентанпергідрофенантрена:

Найбільш поширені вітаміни D2 і D3. Провітамінами D2 і D3 є відповідно ергостерол і холестерол (холестерин). Вони переходять в активну форму в результаті розмикання кільця В під дією сонячного світла. Отже, при наявності відповідних провитаминов (наприклад, 7 дегідрохолестерол у людини) вітамін D3 може синтезуватися в організмі і його надходження з їжею не обов'язково.

Вітаміни D2 і D3 - безбарвні кристали, що плавляться при температурі 115- 116 ° С, нерозчинні у воді, але добре розчиняються в жирах і органічних розчинниках (хлороформ, бензол, сірчаний і оцтово-етиловий ефір, ацетон, спирти). Обидві речовини нестабільні і швидко руйнуються під дією окислювачів і мінеральних кислот.

При відсутності в раціоні вітаміну D у дітей розвивається широко відоме захворювання - рахіт. Причина його полягає в розладі фосфорно-кальцієвого обміну і порушення нормального відкладення фосфату кальцію в кістковій тканині.

Припускають, що при D-авітамінозі порушується всмоктування Са і Р в шлунково-кишковому тракті і освіту фосфорних ефірів ряду органічних сполук. Показано, що всмоктування, перенесення Са і кальцифікація кісток регулюються не вітаміном D3 безпосередньо, а його гормонально-активним метаболітом, що містить оксигрупи. Цей метаболіт, зв'язуючись з ядерними рецепторами, забезпечує біосинтез інформаційної РНК для напрацювання Са-свя- зувати білків і гормонів (кальцитоніну і паратгормону), що регулюють обмін кальцію.

Джерелом вітаміну D для людини є риб'ячий жир, вершкове масло, жовток яйця, печінка тварин, молоко. З тварин вітамін D особливо важливий для курей-несучок і дійних корів. Підраховано, що в шкаралупу курячого яйця переходить 10% всього Са, що міститься в тілі курки, а з кожним літром молока з організму корови виноситься понад 1 г Са. Навіть найменше порушення всмоктування Са в кишечнику тварин при D-авітамінозі згубно позначається на їхньому фінансовому стані і продуктивності.

Добова потреба у вітаміні D для дітей коливається від 12 до 25 мкг (500-1000 ME) в залежності від віку та фізіологічного стану організму. Для дорослої людини досить мінімальної кількості вітаміну D.

  1. Властивості ферментів - біохімія
    Специфічність дії. Ще в кінці XIX і на початку XX століття було встановлено, що здатність того чи іншого ферменту каталізувати перетворення певного речовини (субстрату) залежить від природи як ферменту, так і субстрату. Висока виборча здатність взаємодії ферменту з компонентами біологічної
  2. Властивості біологічних мембран - біохімія
    Біологічні мембрани мають властиві їм характерні властивості і особливості. До найбільш важливих властивостей біомембран слід віднести замкнутість, асиметричність, динамічність, виборчий транспорт речовин через мембрану. Замкнутість мембран. В процесі самозборки ліпідні бішару замикаються
  3. Визначення третинної і четвертинної структур білків - біохімія
    Третинна і четвертинна структури білків визначаються за допомогою рентгеноструктурного аналізу, який вперше був прознавств стосовно міоглобіну і гемоглобіну Дж. Кендра і М. Перутца в Кембриджі. Значення рентгеноструктурного аналізу білків важко переоцінити, оскільки саме цей метод дав можливість
  4. Виведення молока - кровообіг, дихання, видільні процеси, розмноження, лактація, обмін речовин
    Молоковіддача здійснюється не спонтанно, а лише при наявності певних специфічних впливів на молочну залозу-смоктання чи доїння. Секреція компонентів молока в альвеолярному епітелії проходить циклічні фази секреторного циклу (транспорт попередників, синтез секторного продукту і його виведення
  5. Вітамін В6 (піридоксин, піридоксамін, піридоксаль), загальна характеристика - біохімія
    вітамін В 6 був відкритий П. Дьордь в 1934 р, а через чотири роки виділено в кристалічному стані. Розрізняють три індивідуальних речовини, що володіють властивостями вітаміну В 6 : Піридоксамін, піридоксин і піридоксаль. Кристали піридоксаміну безбарвні з температурою плавлення 160 ° С, добре
  6. Вітамін q (убіхінон), загальна характеристика, синтез, біохімічні функції, вітамін f, авітаміноз - біохімія
    У 1955 р було окритія речовина, за будовою близький вітамінів К і Е. Воно отримало назву убихинон або коензим Q. Деякі дослідники відносять його до вітамінів, інші - до вітаміноподібною жиророзчинних речовин, однак вітамінна активність убихинона була доведена в дослідах на багатьох видах тварин
  7. Вітаміни, розчинні в жирах, вітаміни групи А, загальна характеристика - біохімія
    Вітамін А був відкритий Н. Друммонду в 1916 р Цьому відкриттю передували спостереження про наявність жиророзчинного фактора в їжі, необхідної для нормального розвитку сільськогосподарських тварин. Надалі було встановлено, що є три вітаміну групи А: ретинол, або вітамін Aj, нсорстінол - стсрсоізомср
  8. Вітаміни групи Е, загальна характеристика - біохімія
    У 1922 р Г. Еванс і А. Бішо відкрили жиророзчинний вітамін, який назвали токоферолом (дослівно - сприяє пологам). Пізніше він отримав назву вітаміну Е. Будучи похідним кульгає, токоферол має наступну хімічну формулу: Є три групи токоферолів, що відрізняються за ступенем метилювання хромановие
© 2014-2022  ibib.ltd.ua